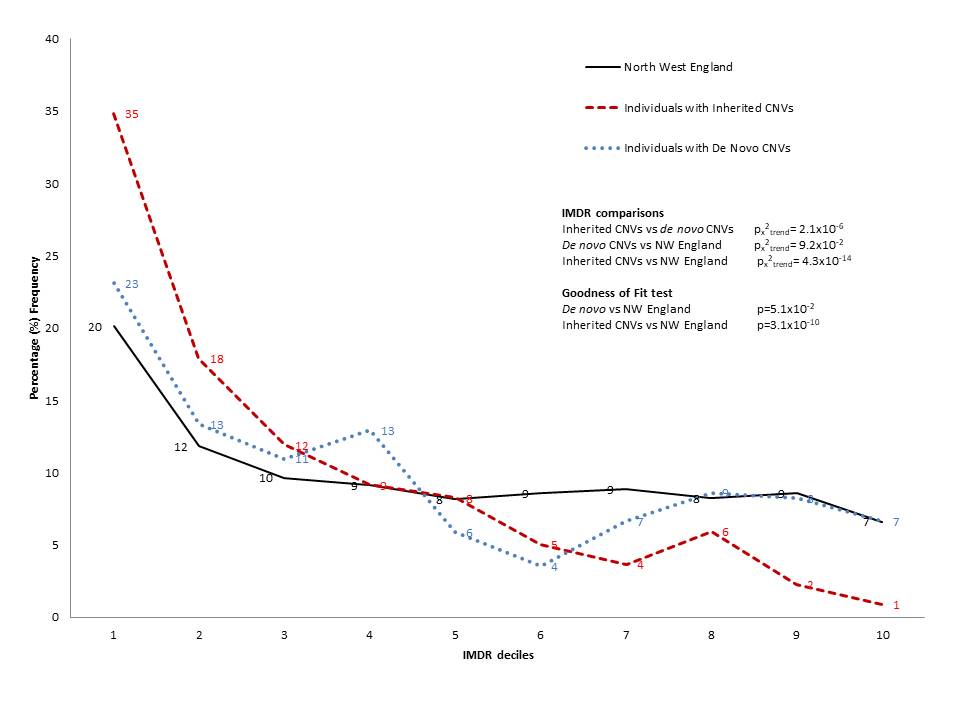
Socio-economic status (SES) has profound effects on health outcomes. This paper shows that people with disease-causing small chromosomal variations (CNVs) tend to have lower SES. Interestingly, SES of individuals with milder inherited CNVs tends to be even lower than of individuals with more severe CNVs without any family history. These findings mean that future studies on the effect of CNVs must take into account the impact of lower SES of affected individuals. As disease-causing CNVs are common in the population, these findings have important implications for policy making. These results also provide unique insights into how genes shape our society. (https://jmg.bmj.com/content/early/2019/08/21/jmedgenet-2019-106292 )
Presence of pathogenic copy number variants (CNVs) is correlated with socioeconomic status (Contributed by Dr. George Burghel)
(Visited 334 times, 1 visits today)
